吸烟,导致多种癌症,还会导致呼吸系统和心脑血管系统等多个系统疾病。据世卫统计,吸烟每年造成约700万人死亡。每3个吸烟者中就有1个死于吸烟相关疾病,吸烟者的平均寿命比非吸烟者缩短10年。
在中国,烟民的数量已经超过了3亿,是世界上最大的卷烟生产国和消费国,消费了全球40%的烟草。在15岁以上的人群中,约有26%的人吸烟,可见我国控烟是一件势在必行的事情。
2021年11月1日,中国医学科学院肿瘤医院徐宁志和北京协和医学院姜晶梅等研究人员在 BMJ 子刊" Tobacco Control "期刊发表了一篇题为" Smoking-related cancer death among men and women in an ageing society (China 2020–2040):a population-based modelling study "的研究论文。
该研究表明,未来二十年中国因吸烟相关癌症导致的死亡人数将增加约50%,更严格的烟草控制对于中国遏制癌症死亡人数上升的趋势至关重要。
早期其他国家的经验表明,与吸烟相关的死亡高峰通常发生在几十年后。例如,在美国,男性吸烟率在1955年达到顶峰,女性在1965年达到顶峰,但肺癌死亡高峰出现在大约40年后,男性在1990年和女性在2000年。
研究人员警告说,中国的吸烟流行比美国晚了三到四十年,因此肺癌死亡人数的高峰尚未到来。
在中国,2016年,国家制定了“健康中国2030”国家规划,目标是到2030年将总体吸烟率降低到20%。
在该研究中,研究人员使用了联合国世界人口展望、中国死亡监测数据库、全国成人烟草调查以及迄今为止最大的全国吸烟和所有死因调查数据库等,对未来20年与吸烟相关的死亡可能过程进行建模分析。
2002年至2018年间,中国男性吸烟率从57.4%降至50.5%,女性从2.6%降至2.1%。如果吸烟率继续以同样的速度下降,到2040年,男性和女性的吸烟率将分别为41.3%和2.16%。
但是,如果将人口老龄化考虑在内,研究分析预测,从2020年到2040年,与吸烟相关的癌症死亡率将在男性中上升44%,在女性中上升53%,在20年内额外死亡860万人,男性占94%。

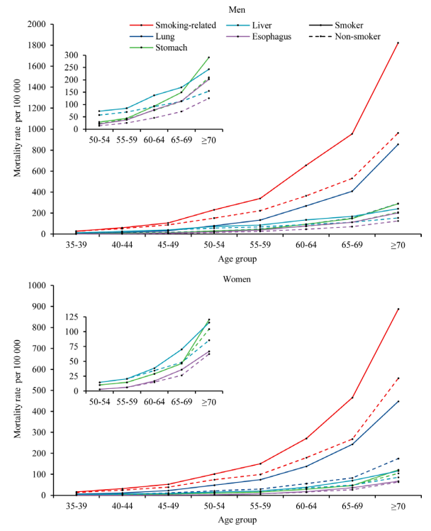
2020-2040年男性和女性吸烟相关癌症死亡率趋势
根据该模型,如果在2030年实现总体吸烟率降低到20%的目标,并且这一趋势持续到2040年,将可以避免140万人死亡。
但研究人员表示,吸烟率的缓慢下降不足以实现目标。研究显示,从2000年到2016年,中国的这一比率从30%下降到26%,与目标所需的速度相差甚远。
此外,即使实现了这一目标,超额死亡人数的上升趋势也只会略微逆转。
研究人员表示,近四分之一的吸烟者在成年前就开始吸烟,完全预防青少年吸烟是必要的。

2040年男性和女性四种主要因吸烟相关癌症导致的死亡率
按照这种模式,预计中国的癌症死亡人数会增加,仅中国就占当今全球癌症死亡人数的30%,未来的癌症形势将更加令人担忧,因为中国也在迅速迈向老龄化社会。
研究人强调了几个局限性,由于缺乏特定年龄的既往吸烟率,无法充分考虑吸烟对戒烟者的影响,也没有考虑二手烟,这可能意味着未来与吸烟相关的死亡人数被低估了。
吸烟与健康的研究数不胜数,我们都知道吸烟有很多危害,肺部健康、心血管疾病、癌症、骨质疏松、智力等很多危害。吸烟对生殖系统也有极大的不利影响,对于男性来说,会影响男士的勃起功能障碍,对于女性来说,会使生育能力下降。
所以,为了自己和家人的健康,烟,还是不要吸了。
原始出处:
Ning Li, Peng Wu, Zixing Wang, et al. Smoking-related cancer death among men and women in an ageing society (China 2020–2040):a population-based modelling study. Tobacco Control, 2021.
来源:医诺维
四川省医药保化品质量管理协会党支部开
为庆祝中国共产党成立104周年,持..四川省医药保化品质量管理协会党支部召
四川省医药保化品质量管理协会党支..认真落实巡视组反馈意见,进一步规范协
按照四川省市场监督管理局党组巡视..关于相关收费标准的公示
根据四川省医药保化品质量管理协会..关于召开会长办公会的通知
各会长、副会长单位: 根据四川..四川省医药保化品质量管理协会组织召开
2025版《中国药典》将于2025年10月..四川省医药保化品质量管理协会召开第七
四川省医药保化品质量管理协会第七..“两新联万家,党建助振兴”甘孜行活动
为深入贯彻落实省委两新工委、省市..关于收取2025年度会费的通知
各会员单位: 在过去的一年里,..四川省应对新型冠状病毒肺炎疫情应急指
四川省应对新型冠状病毒肺炎疫情应..四川省应对新型冠状病毒肺炎疫情应急指
四川省应对新型冠状病毒肺炎疫情应..