2008年全球疾病负担分析显示,缺乏身体活动是全球530万人死亡的原因。根据《柳叶刀》曾发表的另一项慢病研究提示,身体活动不足带来的死亡风险与吸烟危害相似。然而,人们对运动重要性的认识却仍然不足。根据2016年数据,全球27.5%的人缺乏身体活动,在中国,这一比例为14.1%。
由剑桥大学团队领衔开展、最新发表在《柳叶刀-全球健康》的研究,从另一面强调了运动的益处:全世界每年至少有390万人通过充分的身体活动而避免了过早死亡。

截图来源:The Lancet Global Health
研究团队表示,目前不少研究倾向于关注缺乏运动、饮食不佳等不健康生活方式带来的负面影响。但反过来看,我们也要看到健康行为所带来的成就,这有助于鼓励人们保持好的习惯,甚至做得更好。
因此,研究团队在全社会人口水平上估算了因身体活动而减少的过早死亡。研究用到的一个重要概念是“人群预防分数”(prevented fraction for the population,PFP),计算方法为:(缺乏运动人群的死亡率-运动达标人群死亡率)/缺乏运动人群的死亡率,所得出的结果即反映了在全人群中运动所预防的死亡比例。
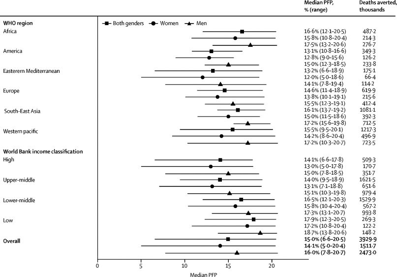
研究团队收集了全球168个国家在2001-2016年间的身体活动和全因死亡数据。身体活动达标情况参照世卫组织标准:每周至少进行150分组中等强度有氧运动或75分钟高强度运动,或同等强度的运动组合。此外,为了避免新生儿或儿童疾病,以及老年相关疾病死亡,研究团队将目标人群年龄范围限定在40-74岁。
经过统计模型计算,数据显示,保守估计,在全球范围内,运动预防了15%的过早死亡,相当于每年挽救了390万人的生命。在男性中,运动实现的预防效果更大(16% vs 14.1%)。
尽管各个国家地区人群达到建议运动量的情况差异很大,但运动有益这一点是一致的。运动预防的死亡比例,从美洲的13.1%到非洲的16.6%不等。在中国,运动预防了18.3%的死亡,相当于避免101.65万40-74岁人群死亡。根据世界银行的经济水平划分,在中低收入国家,运动避免了17.9%的过早死亡,在高收入国家这一比例则是14.1%。而且从各大洲细分数据来看,整体趋势也都是中低收入国家人群从运动中获益更多。

▲全球不同地区通过运动可预防的死亡比例,根据世卫组织划分,中国属于西太平洋区域(图片来源:参考资料[1])
研究团队表示,这是“第一个在全球以及各区域层面对总体活动量预防死亡的益处进行量化的研究。”
研究作者之一,爱丁堡大学Paul Kelly博士表示,上述数据反映了运动已经切切实实带来的好处,而我们值得为此付出更多努力。“无论是锻炼,去健身房还是午餐后的散步,都能够实现改善健康、促进长寿的目标。”
参考资料(可上下滑动查看)
[1] Tessa Strain, et al., (2020). Use of the prevented fraction for the population to determine deaths averted by existing prevalence of physical activity: a descriptive studys. The Lancet Global Health, DOI: 10.1016/S2214-109X(20)30211-4.
[2] Pedro C Hallal, Michael Pratt. (2020). Physical activity: moving from words to action. The Lancet Global Health, DOI: 10.1016/S2214-109X(20)30256-4.
[3] Regina Guthold, et al., (2020). Worldwide trends in insufficient physical activity from 2001 to 2016: a pooled analysis of 358 population-based surveys with 1·9 million participants The Lancet Global Health, DOI: 10.1016/S2214-109X(18)30357-7.
[4] Physical activity prevents almost 4 million early deaths worldwide each year. Retrieved June 18, 2020, from https://www.eurekalert.org/pub_releases/2020-06/uoc-pap061620.php
四川省医药保化品质量管理协会党支部
2026年4月8日上午,省医药保化品质..四川省医药保化品质量管理协会党支部
2026年4月8日上午,省医药保化品质..关于收取2026年度会费的通知
各会员单位: 在过去的一年里,..四川省医药保化品质量管理协会举办2026
持续提升合规 智慧拓建高质 四川..四川省医药保化品质量管理协会党支部召
按照省市场监督管理局社会组织联合..关于举办2026年度四川省药品生产企业质
各药品生产企业: 2026年是我国..