研究人员表明,低收入和中等收入国家动物中的抗药性感染正在迅速增加,第一个全球耐药率报告已制作完毕,确定了急需干预的地区。
自8月以来,由于非洲猪瘟,猪肉价格大涨,让普通群众直呼“吃不起猪肉“了!吃不起猪肉没关系,吃别的肉呗!鸡肉、牛肉、鱼肉等等物资丰富,价格美丽,任君挑选。
但,也有人质疑这些肉是真的安全吗?

DOI: 10.1126/science.aaw1944
9月20日,一篇发表在国际顶尖《Science》杂志上的一篇论文告诉我们:在肉类供应市场的源头——养殖业中抗生素滥用和抗生素抵抗现象十分普遍。更让人揪心的是,在如印度、中国、拉丁美洲和非洲等低收入和中等收入国家/地区这一现象更加泛滥。如果对此现象不严加管控,一旦超级耐药菌出现,我们不仅吃不上肉,更有可能面临“超级细菌”的死亡危机。
儿童体内检出兽用抗生素
这一研究的立项并不是临时起意,而是多起“抗生素耐药”事件的“致命”探因。
2014年4月13日,我国央视报道,上海复旦大学公共卫生学院周颖、赵琦两个课题组合作,历经1年,通过对上海、江苏和浙江的1000多名8到11岁的学校儿童人群尿中抗生素的生物监测证实,我国儿童普遍暴露于多种抗生素,背负沉重的抗生素负担。更让人震惊地是在被调查的6成儿童体内竟检出兽用抗生素!究其原因,研究小组表示:养殖业在饲养可食用的家畜家禽时过度滥用抗生素,以至于人在食用后,兽用抗生素进入体内,并富集。其实,由此可见我国抗生素滥用不仅是临床治疗的问题,环境与食品也是儿童抗生素的重要暴露源。

图片来源:pixabay
无独有偶,广州市妇婴医院曾抢救过一名体重仅650克、25个孕周的早产儿。头孢一代,无效!头孢二代,无效!头孢三代四代,仍然无效!再上“顶级抗生素”:泰能、马斯平、复兴达……通通无效!后来的细菌药敏检测显示,这个新生儿对7种抗生素均有耐药性!

图片来源:pixabay
对此,专家们表示:新生儿耐药或来自母亲。孕妇在吃大量抗生素残留的肉蛋禽时,顺势摄入这些抗生素。 而动物产品中所残留的抗生素,已经成为耐药菌产生的重要原因之一。
相似的案例比比皆是……
该论文的研究人员对这一现象解释道:由于低收入和中等收入的国家对抗生素使用的追踪能力有限,无法追踪农场的抗生素药物使用和耐药情况。因此抗生素使用通常受到较少的管制和记录。于是,研究人员开始了对这类国家的牲畜抗生素使用进行追踪调查。
第一个全球抗生素耐药率报告
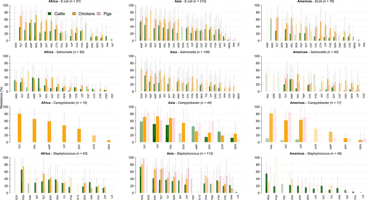
在该研究中,研究人员首先从畜牧信息中心(LMIC)中确定了来自发展中国家的901个地区或城市作为研究对象,整理了一个大型文献数据库。接着,他们以调查动物抗生素耐药性(AMR)趋势为主要目标,集中分析常见于食源中的细菌:非伤寒沙门氏菌,大肠杆菌,弯曲杆菌和金黄色葡萄球菌,并绘制动物AMR趋势图。
困难重重,历经艰辛,自2000年至2018年,研究人员终于得出了相关研究结果:

LMIC的抗药性增加趋势图
1. 从2000年到2018年,50%以上耐药性的抗生素的比例在鸡中从0.15增加到0.41,在猪中从0.13增加到0.34,而在牛中则一直稳定在0.12到0.23之间。

世界卫生组织建议对食源性病原体进行药敏试验的抗药性
2. 在动物生产中最常用的抗菌剂类别:四环素,磺酰胺,青霉素和喹诺酮中观察到最高的耐药率,并且在某些地区,这些化合物几乎完全失去了治疗感染的功效。

红色区域表示对多种药物有抗药性的新热点;蓝色区域是公认的热点。
3.在中低收入国家,耐药水平表现出相当大的地理差异。动物抗生素滥用导致耐药率较高的地区排名前四位分别为:中国东北、印度东北、巴西南部、伊朗和土耳其。更让人诧异地是,到目前为止,除尼日利亚和约翰内斯堡周围地区外,非洲几乎没有出现抗生素耐药性热点。
“超级细菌”或许已在路上
作为 20 世纪人类最伟大的医学成就,抗生素的发现和广泛使用拯救了数以亿计的生命,并使得人类的平均寿命因此延长 10 年。在临床医疗上,抗生素可以快速解决大家的病痛,所以大家也总是在不经意中便对抗生素产生了深深的依赖,比如说,感冒了,吃点头孢就好了;发烧了,吃点阿莫西林就好了;过敏了,涂点红霉素就好了……可是你有没有发现,第一次带给你“神奇”治愈的抗生素们,慢慢越用越多还越来越不管用了。

图片来源:pixabay
除此之外,在养殖业上,为了让牲畜少得病,多出产,满足大家餐桌上的美味,我们体内抗生素耐药性又被加强了!
或许一种什么药都不管用的“超级细菌”已经在向我们奔来的路上了……预测到“超级细菌”即将来临,医药研发巨头们也正在拼尽全力研究克制“超级细菌”的相关抗生素,但研发实际并不理想。
或许面对超级细菌的,我们能做的不多,但节制医用抗生素的滥用和抵制养殖业抗生素的滥用,才是现在我们努力的方向。
参考资料:
[1] Global trends in antimicrobial resistance in animals in low- and middle-income countries
四川省医药保化品质量管理协会党支部开
为庆祝中国共产党成立104周年,持..四川省医药保化品质量管理协会党支部召
四川省医药保化品质量管理协会党支..认真落实巡视组反馈意见,进一步规范协
按照四川省市场监督管理局党组巡视..关于相关收费标准的公示
根据四川省医药保化品质量管理协会..关于召开会长办公会的通知
各会长、副会长单位: 根据四川..四川省医药保化品质量管理协会组织召开
2025版《中国药典》将于2025年10月..四川省医药保化品质量管理协会召开第七
四川省医药保化品质量管理协会第七..“两新联万家,党建助振兴”甘孜行活动
为深入贯彻落实省委两新工委、省市..关于收取2025年度会费的通知
各会员单位: 在过去的一年里,..四川省应对新型冠状病毒肺炎疫情应急指
四川省应对新型冠状病毒肺炎疫情应..四川省应对新型冠状病毒肺炎疫情应急指
四川省应对新型冠状病毒肺炎疫情应..